Preoperative MRI Reduces Ipsilateral Breast Cancer Recurrence in Patients Aged 50 Years or Younger
-Long-term follow-up of 4,414 patients with a median follow-up of 7.7 years analyzed according to preoperative MRI use
-In hormone receptor–negative breast cancer, preoperative MRI was associated with a 60% lower risk of recurrence compared with no MRI

[Image] Imaging findings in a young breast cancer patient with ipsilateral in-breast recurrence after surgery. Postoperative breast imaging obtained 2 years after surgery in a patient aged 50 years or younger who did not undergo preoperative MRI, demonstrating ipsilateral in-breast recurrence: (A) mammography, (B) ultrasonography, and (C) MRI.
A research team at Seoul National University Hospital has demonstrated that preoperative breast MRIis effective in reducing recurrence among breast cancer patients aged 50 years or younger. The benefit was particularly pronounced in patients with hormone receptor–negative breast cancer, a subtype associated with poorer prognosis and higher recurrence rates, in whom the risk of recurrence was reduced by more than 60%.
These findings are expected to support more individualized treatment strategies for young breast cancer patients and to serve as an important guideline for establishing more precise, MRI-based surgical planning.
Breast cancer recurrence patterns vary according to hormone receptor status. In particular, hormone receptor–negative breast cancer has a higher recurrence rate than hormone receptor–positive disease. Younger patients (≤50 years) often have dense breast tissue, which makes early detection more challenging, and they also have a higher incidence of hormone receptor–negative tumors. In addition, they face an increased risk of ipsilateral in-breast recurrence (local recurrence)after surgery. As a result, the use of preoperative breast MRIhas been increasing to enable more accurate diagnosis and optimized surgical treatment.

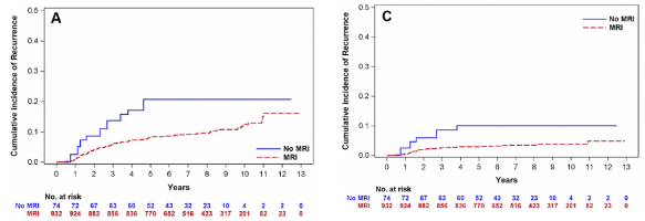
[Graph] Cumulative incidence of recurrence in the hormone receptor–negative group. Analysis of the 5-year cumulative incidence showed that the MRI group had lower rates of total recurrence (8.2% vs 20.7%) and ipsilateral in-breast recurrence (2.9% vs 10.0%) compared with the no-MRI group.
Breast MRI is the most sensitive imaging modality for breast cancer detection and can identify lesions missed by mammography or ultrasonography. However, the long-term prognostic impact of preoperative MRI in young patients—particularly according to hormone receptor status—has not been clearly established.
Professors Soo-Min Haand Hee Ra Yeonfrom the Department of Radiology, together with Professor Hong-Kyu Kimfrom the Department of Breast and Endocrine Surgeryat Seoul National University Hospital, reported on the 5th the results of a retrospective analysis of 4,414 breast cancer patients younger than 50 yearswho underwent surgery between 2011 and 2017.
Patients were divided into an MRI group (n = 4,118)and a no-MRI group (n = 296). Baseline characteristics—including age, cancer stage, and tumor size—were statistically balanced using inverse probability of treatment weighting (IPTW). Patients were then followed retrospectively for a median of 7.7 years, and 5-year cumulative recurrence rateswere analyzed.
The analysis showed no significant difference in overall recurrence rates between the MRI and no-MRI groups. However, the incidence of ipsilateral in-breast recurrencewas significantly lower in the MRI group (1.6% vs 3.3%).
Subgroup analysis according to hormone receptor status revealed a marked benefit of preoperative MRI in patients with hormone receptor–negative breast cancer. In this group, the MRI cohort showed significantly lower rates of ipsilateral in-breast recurrence as well as a more than 60% reduction in overall recurrence riskcompared with the no-MRI group (8.2% vs 20.7%). In contrast, no significant differences were observed in patients with hormone receptor–positive disease.
The researchers explained that, in hormone receptor–negative breast cancer—characterized by a high risk of recurrence and limited responsiveness to hormone therapy—preoperative MRI can facilitate more accurate diagnosis and surgical planning, thereby contributing to recurrence prevention.
Meanwhile, overall survival, regional recurrence (including lymph nodes and adjacent areas), contralateral breast cancer recurrence, and distant metastasis ratesdid not differ significantly according to preoperative MRI use.
Professor Ha (Department of Radiology) stated, “This study provides long-term follow-up data on MRI findings in young breast cancer patients and confirms a clear recurrence-preventive effect of preoperative MRI, particularly in those with hormone receptor–negative tumors.” She added, “These results provide evidence to support the selective use of preoperative MRI in patients aged 50 years or younger and will contribute to the development of imaging strategies tailored to tumor biology.”
The study was published in the international radiology journal Radiology(Impact Factor: 15.2).

[From left] Professors Hee Ra Yeon and Soo-Min Ha, Department of Radiology; Professor Hong-Kyu Kim, Department of Breast and Endocrine Surgery